District 1 - Ah-Kaw-Lay/Anadarko
Legislator: Kyle Ataddlety
District 2 - Zoltone/Carnegie
Legislator/Speaker: Michael Primus II
Kiowa Tribal Complex, 100 Kiowa Way, Carnegie, OK 73015
Office Manager: Michael D. Attocknie
District 3 - DoHay-doy/Medicine Bluff
Legislator: Timothy Satepauhoodle
101 Thoma Drive, Elgin OK 73538
Office Manager: Missy Strickland
District 4 - Qop-aydle/Jimmy Creek
Legislator: Cole DeLaune
1621 SW Lee Blvd. Lawton, Oklahoma, 73501
Office Manager: Genevieve Oldbear, (580) 919-1736
Email: goldbear@kiowatribe.org
District 5 - P'au-aydle/Red River
Legislator: Tiya Rosario
1011 SW C Ave
Lawton, OK 73501
General email: district5legislatureoffice@kiowatribe.org
Office Manager: Rebecca "Kee-wah" Parker
Phone:(580)425-0698
District 6 - Qocaui P'au/Elk Creek
Legislator: Ben Lucero Wolf
P.O. Box 702, Hobart, OK 73651
430 S Main, Hobart, Ok.
Office Manager: Sharla Bosin
580-699-4017
District 7 - Cauigu/All Kiowa
Legislator: Warren Queton
15 E 16th St
Tulsa, OK 74119
Office: 539-525-0437
Office Manager: Tara Bigbow
Categories
Upcoming District Events

Statement from the Legislature




To view as PDF:



Update On The Issuance of Subpoenas To Tribe Officials.pdf




Update posted on 5/25/25: Annual Budget Update May 2025.PDF



Statement from the Legislature.pdf


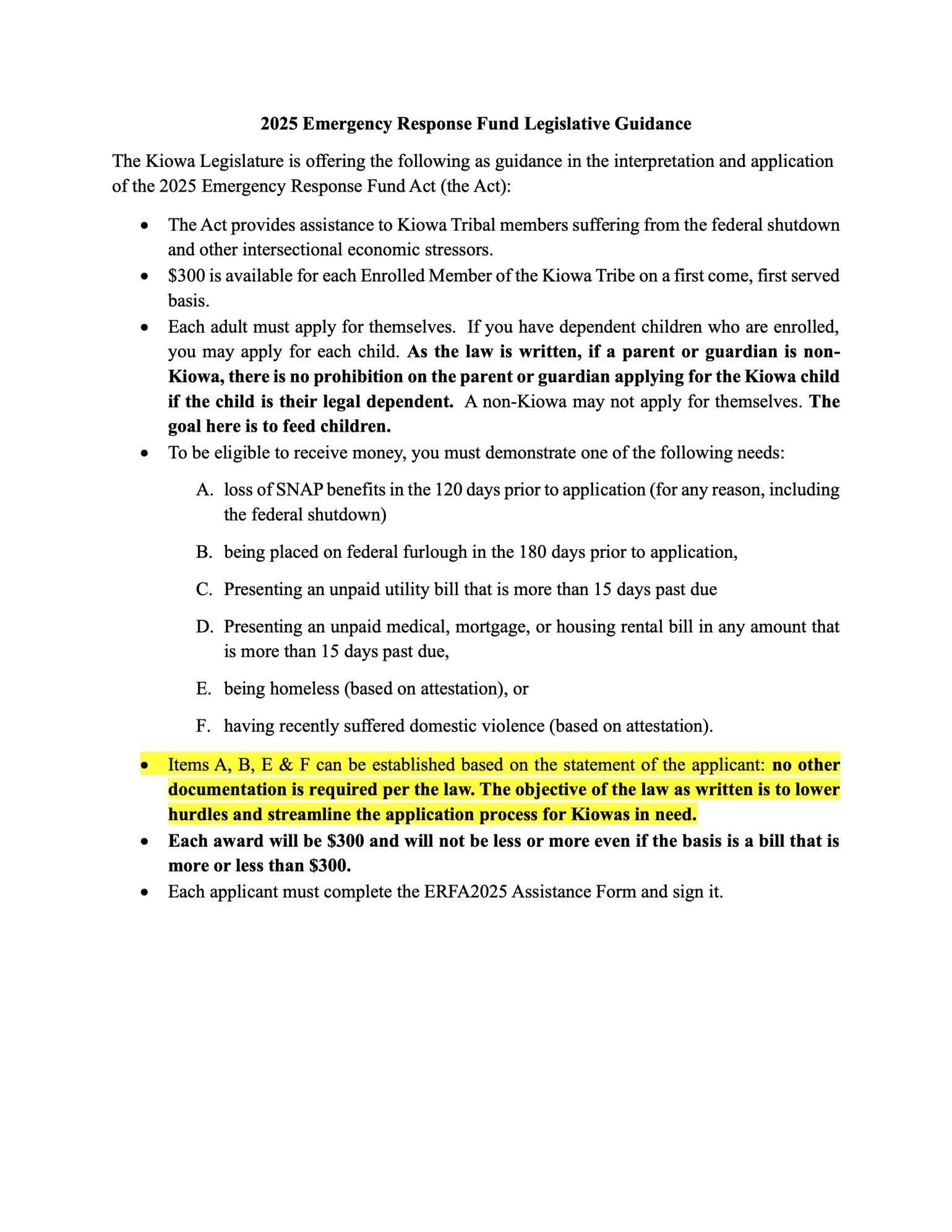
Emergency Response Fund Act of 2025
Inquiry Hearings
Kiowa 2025 Hearing Documents:
https://iaelaw.box.com/s/4qk2pbgl31qiyb6gfd0f7i8pxgdudv1z
UPDATE ON RECENT LEGISLATIVE INQUIRY HEARINGS
AND A RESPONSE FROM THE LEGISLATURE
TO CHAIRMAN SPOTTEDBIRD’S NOVEMBER 1 WEEKLY ADDRESS




Impeachment Hearing
Upcoming Events
https://us06web.zoom.us/j/82444892727?pwd=z15tV3GkSmkwVS1c1b5jaCHLuBEy2…
PASSCODE: 725517

To Join the Legislative Session by Zoom
https://us06web.zoom.us/j/83406297529?pwd=LN7y7lgSag9MVRzGmbw0BojOUBwI2…
PASSCODE: 152573

Info on Impeachment of Chairman SpottedBird

2.14.26 Final Report October 2025 Legislative Inquiry Hearings.pdf
Legislative Law Library
Recordings of the Legislative Inquiry Hearings
Pending Resolutions Published for Review
Kiowa Election Ordinance REV TR 228 3.12.2025.pdf
KL-CY-2025-00X Office of the Treasurer Act of 2025 sponsor CDeLaune 5.9.2025.pdf
KL-CY-2025-0XX THE OFFICE OF THE ATTORNEY GENERAL ACT OF 2025 7.10.2025.pdf
KL-CY-2025-0XX Kiowa Juvenile Code Resolution (1) sponsor-WQueton 8.8.2025_0.pdf
KL-CY-2025-0XX THE CHIEF LEGAL COUNSEL TO THE CHAIRMAN ACT OF 2025 sponsor-CDeLaune 8.8.2025_1.pdf
KL-CY-2025-0XX Kiowa Investment Act Resolution sponsor-MPrimus co-sponsor-Legislature 9.26.2025.pdf
KL-CY-2025-0XX The Campaign Finance Act of 2025 sponsor-CDeLaune 10.09.2025
KL-CY-2025-0XX The Kiowa Freedom Fund Act of 2025 sponsor-CDeLaune
KL-CY-2025-0XX The Baby Bonds Act of 2025 sponsor CDeLaune 10.09.2025
KL-CY-2025-0XX The Food Security and Healthy Families Act of 2025 sponsor CDeLaune 10.09.2025
KL-CY-2025-025 The Tinhorn Program Act of 2025 sponsor CDeLaune
The First Amendment to the Direct Aid to Kiowa Families and For the People Funds Act of 2025.pdf
The Shutdown Response and Direct Relief Act of 2026.pdf
THIRD AMENDED KL-CY-2026-0XX BOK Financial Resolution 1.10.2026 Sponsor CDeLaune.pdf
KL-CY-2026-0XX The Shelter Act of 2026 post 1-09-2026 sponsor-CDeLaune.pdf
THIRD AMENDED KL-CY-2026-0XX Community Bank of Oklahoma Resolution 1.10.2026 Sponsor DeLaune.pdf
THIRD AMENDED KL-CY-2026-0XX Farmers Bank Resolution 1.10.2026 Sponsor CDeLaune.pdf
THIRD AMENDED KL-CY-2026-0XX Crossfirst Bank Resolution 1.10.2026 Sponsor CDeLaune.pdf
THIRD AMENDED KL-CY-2026-0XX Sovereign Bank Resolution 1.10.2026 Sponsor CDeLaune.pdf
The Conflict of Interests on Boards and Commissions Act of 2026.pdf
The First Amendment to the Grant Application and Authorization Act of 2017.pdf
The First Amendment to the Self-Determination 638-Contracts Act of 2017.pdf
The Kiowa Casino Operations Authority Conflicts of Interest Act.pdf
2025 Kiowa Juvenile Code (Revised after Meeting).pdf
Updated - 2026 KCOA Charter - Most Current (1) (1) recv 3.23.2026 JA update 3.24.2026.pdf
KL-CY-2026-0XX The Public Integrity Act Law of 2026 ckd 1.12.2026.pdf
KL-CY-2026-0XX 2026 Amendment to the Kiowa Criminal Code mp 2.12.2026.pdf




